个人资料
教育经历2011—2015,南开大学物理学院,本科:物理(伯苓班);
2016—2021,南开大学泰达学院,硕博连读:光学; 工作经历2021—2024,南开大学,助理研究员(博士后);
2024—至今,南开大学,副教授。 个人简介卢瑶,南开大学看球88
副教授,博士生导师,长期从事声子极化激元与太赫兹非线性物理相关研究,打破了支撑能带理论三大近似之一的玻恩——奥本海默绝热近似,发展了一种在非绝热体系下研究和增强光与物质相互作用的全新方法;发现了声子极化激元的新物态,提出了受激声子极化激元的概念,建立了非线性黄昆方程;通过非绝热非线性方法实现了光学非线性系数超过五个数量级的提升,为非线性光学的发展提供了全新物理基础和机制平台,被评价为“2000年以来太赫兹非线性的代表工作”、“增强太赫兹非线性的三个主要途径之一”。上述研究相关成果在Nat. Commun.、Light Sci. Appl.等国内外著名学术杂志上发表30余篇。相关研究成果相继获得2021年中国光学十大进展、2022年全球三十项光学重要进展(Optics in 2022),曾获2024年度中国光学学会科技创新奖郭光灿光学奖,入选2024年天津市青年科学家协会“优秀青年科技工作者”等荣誉奖项,目前担任天津市青年科技工作者协会数理专委会委员、Frontiers of Physics青年编委、Physical Review Letters等国际著名期刊审稿人。
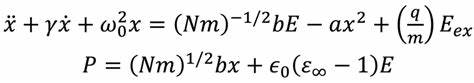
研究方向目前,我们主要关注以下研究领域,欢迎关注、访问、交流、合作! (1)极化激元与非线性光学 在传统的光与物质相互作用(LMI)模型中,电子和离子根据玻恩-奥本海默近似分别处理。通常,电子被认为在LMI过程中起主导作用,因为离子太重,无法响应可见光或近红外光的快速电磁振荡。因此,离子贡献在大多数LMI过程中通常被忽略。然而,离子贡献在许多情况下起着重要作用,例如拉曼散射或受激拉曼散射。特别是在输入微波或太赫兹波情况下,离子贡献是不可忽视的。在太赫兹波与离子晶体材料的相互作用过程中,声子极化激元扮演着不可忽视的作用。然而,传统的黄昆方程尽管给出了在热激发情况下,自发产生的较弱的声子极化激元在线性的光学体系框架下所满足的基本规律,而无法用于描述受激情况下的声子极化激元的非线性响应。与之相对,如今的科学发展对于光与物质非线性相互作用的研究却提出了越来越高的要求。为此,我们以黄昆方程为基础,从理论上考虑了声子极化激元在光与离子晶体材料的非线性相互作用过程中所起到的关键性作用,发展出了一组适用于描述受激产生的较强的声子极化激元,在非线性物理学框架下的运动的非线性黄昆方程,并据此预言了一系列与声子极化激元非线性有关的物理机制和物理现象。
受激声子极化激元与玻恩—奥本海默近似的破坏【Nanophotonics-2024】 上个世纪50年代,黄昆先生用一组方程(黄昆方程)描述了这种元激发所遵循的基本规律,也揭示了离子晶体中横光学声子与光子相互耦合的物理本质。然而,黄昆方程描述的是晶格热振动情况下,自发产生的声子极化激元。当考虑低频太赫兹波作用于晶格时,会产生受激的声子极化激元。这种受激声子极化激元比自发产生的要强很多,通常需要考虑非线性极化带来的影响。
非线性黄昆方程的二阶一般形式 为此,我们建立了如上的非线性黄昆方程。通过求解非线性黄昆方程,我们发现在声子极化激元的体系中,离域的声子模式会给材料的性质带来巨大的改变。根据这一机理,我们发现,声子极化激元辅助下铌酸锂晶体在太赫兹波段的二阶非线性极化率达到1.58×10-6 m/V,远高于可见光和微波,也远高于其他常见太赫兹材料(论文Nature Communications 12, 3183 (2021))。再者,对于近红外激光脉冲,在受激声子极化激元对作用下,800 nm红外激光SHG的非线性系数可以提高约4.8×105倍(论文Communications Physics 5, 299 (2022))。
受激声子极化激元介导的新型光与物质相互作用模型图
新型光与物质相互作用机制图解【非绝热情形Commun Phys-2022】 此外,面对太赫兹光通讯、光计算、光子学实用化器件等等的重大需求,如何在切实可用材料中实现强克尔效应至关重要。作者团队设计并利用飞秒直写技术在铌酸锂平板波导上制作了单一模式太赫兹法布里-珀罗微腔,观测到了微腔中共振峰随着泵浦功率大小的改变而移动。他们建立了频率移动模型,提取出了受激声子极化激元介导的太赫兹克尔非线性系数,相较于铌酸锂在可见波段的克尔非线性系数,实现了4个数量级的提升(论文Light: Science & Applications 13, 212 (2024) )。
太赫兹克尔效应的原理与测量【Light-2024】
中国光学十大进展(基础研究类)与美国光学学会Optics in 2022入选截图 通过仔细分析离子晶体材料中离子与电子各自的性质与它们之间的相互作用关系,我们可以构建出一套以离子晶体和太赫兹声子极化激元为中心的全新的研究体系,以促进其他众多学科的发展。这一系列研究提出了极性晶体中独特的LMI机制,因为不依赖BO近似,为光和晶体相互作用提供了新的可能性。例如,通过直接控制离子,这种机制能够更有效地调制极性晶体的光学性质和畴结构,这打破了仅控制电子非常有限的调制的限制。我们的发现不仅对光学和光子器件的发展很重要,而且可能对理解凝聚态物理学中其它基于极化激元的现象也很重要。 (2)太赫兹瞬态亚波长光子学与超快现象 电子学和光子学的发展日益完善,使得科研工作者们把目光集中在频段介于两者之间曾经被称为“太赫兹空白”的太赫兹技术和科学。利用亚波长铌酸锂晶片作为基质材料,我们实现了太赫兹波的产生、传输、调控、探测、与物质或微结构的相互作用等功能。在这个研究中,铌酸锂晶片的厚度远小于太赫兹波长,同时又是含时间变化的瞬态研究,所以需要开发亚波长瞬态光学的基本方程和理解其特性,以利于功能器件的设计。为了能够精细观测芯片上太赫兹波的作用过程,需要开发时空超分辨的定量成像技术。在以上理论和技术的基础上,我们利用商用软件开发了基于时域有限差分和有限元的数值设计和模拟系统,并开发了片上超材料制备工艺和片上微结构加工工艺。
“相位孤子”示意图(冻结相位传输)【LPR-2021】
“相位孤子”传输实验动画【LPR-2021】
“共线模间”干涉原理【待更新】 铌酸锂片上的太赫兹集成器件的基础是各向异性亚波长平板波导,也就是作为基底材料的铌酸锂晶片中太赫兹波传输的性质。我们借助时空超分辨成像实验系统,系统研究了瞬态亚波长情形下的一系列光学效应,并实现了对片上太赫兹波传输模式、模式动态转化、相位调制、能量分布调制、以及非对称传输等。这些基础工作为研究瞬态亚波长光学和光子学中的新物理提供了引导,同时也为未来铌酸锂片上太赫兹应用提供了借鉴。
太赫兹拓扑QVH传输【ACS Photonics-2021】 (3)片上太赫兹集成与应用器件 我们在铌酸锂芯片上的太赫兹集成和应用方面做了比较多的尝试,在太赫兹波的产生、传输、调控等方面都有所突破,并展示了片上集成的太赫兹灵敏探测、片上集成的太赫兹时域光谱仪、片上集成的太赫兹光二极管、滤波器等潜在的应用。如: 我们在铌酸锂晶片上设计并制备了亚波长波导/超构材料的复合结构,作为微量物质的太赫兹作用区。并利用作用区的前半部分作为太赫兹波激发区,后半部分作为太赫兹检测区。这样形成了一个太赫兹片上灵敏探测的集成平台。而且由于复合结构的设计,太赫兹波的主要能量集中在表面波模式,极大增强了太赫兹和物质作用,可以形成对微量物质的灵敏探测。对比于普通的太赫兹探测,指纹光谱的吸收可以增强20倍;并且同时折射率也可以实现5.16(%,RIU-1)灵敏探测,进而形成独特的太赫兹二维光谱探测(论文:Applied Physics Letters 114(12): 121102 (2019))。
太赫兹片上乳糖探测【定性测量,课题组工作】 铌酸锂晶体在包括太赫兹波段在内的全波段光子集成方面表现出优异的性能,在非线性光学、集成量子光子学中和拓扑光子学中显示出广泛的应用。然而,高效高精度的毫米/厘米级的铌酸锂微加工仍然是太赫兹片上集成应用的瓶颈。为此,我们提出了一种新颖的实现芯片级铌酸锂的高效无裂纹制造的单步法,这对太赫兹片上技术的发展意义重大。我们研究发现在飞秒激光加工铌酸锂晶体过程中,时间色散对裂纹形成的影响比脉冲能流更重要。通过灵活控制脉冲色散,我们消除了由于非线性效应降低和常规热效应增强而产生的裂纹。结果表明,由时间色散导致的脉宽和波形的变化会通过调节光与物质的相互作用来加速裂纹的生长。与原始色散脉冲相比,无色散脉冲可以显著提高LN微加工的边缘质量并减少太赫兹波的缺陷吸收,使其透过率提高约5.8倍(论文:Materials Today Physics 35, 101102 (2023))
利用时间色散调控优化铌酸锂太赫兹微结构加工【MTP-2023】 研究成果发表论文情况(会议论文未列出,更多内容请查看ResearchGate) (2025年9月更新,*代表通讯作者) 2025年
34. 段浩宇, 徐西坦, 郑子阳, 黄意博, 卢瑶*, 吴强*, 许京军. 飞秒激光时间色散调控铌酸锂片上太赫兹波产生. 物理学报, 74(15): 158702 (2025). //wulixb.iphy.ac.cn/cn/article/doi/10.7498/aps.74.20250573 2024年
33. Yibo Huang, Yao Lu*, Wei Li, Xitan Xu, Xinda Jiang, Ruobin Ma, Lu Chen, Ningjuan Ruan, Qiang Wu* & Jingjun Xu*, Giant Kerr nonlinearity of terahertz waves mediated by stimulated phonon polaritons in a microcavity chip, Light: Science & Applications 13, 212 (2024) //www.nature.com/articles/s41377-024-01509-y
32. Yao Lu, Yibo Huang, Junkai Cheng, Ruobin Ma, Xitan Xu, Yijia Zang, Qiang Wu*, & Jingjun Xu*, Nonlinear optical physics at terahertz frequency, Nanophotonics 13(18), 3279-3298 (2024) //www.degruyterbrill.com/document/doi/10.1515/nanoph-2024-0109/html
31. Hao Hu, Xianhui Fu, Jiwei Qi*, Sihao Zhang, Qiang Wu, Yao Lu, Zongqiang Chen, Jing Chen, Xuanyi Yu, Xiaolei Wang, Qian Sun*, & Jingjun Xu*, Omni-polarized Faraday isolator based on non-Hermitian Faraday system, Optics Express 32(11), 18594 (2024) //opg.optica.org/oe/fulltext.cfm?uri=oe-32-11-18594&id=549927
30. Song Huang, Jiaxin Cao, Guanting Song, Jinze Cao, Yao Lu, Qiang Wu*, Weiqing Gao*, & Jingjun Xu, Broadband-Spectral-Responsivity of black silicon photodetector with high gain and sub-bandgap sensitivity by titanium hyperdoping, Optics & Laser Technology 171(7763), 110399 (2024) //www.sciencedirect.com/science/article/pii/S0030399223012926?via%3Dihub
29. Ruobin Ma, Yao Lu*, Jiwei Qi*, Hao Xiong, Xitan Xu, Yibo Huang, Qiang Wu, & Jingjun Xu, Transient cavity-cavity strong coupling at terahertz frequency on LiNbO3 chips, Optics Express 32(7), 12763 (2024) //opg.optica.org/oe/fulltext.cfm?uri=oe-32-7-12763&id=548308
28. 张泽亮, 马若斌, 李星佑, 卢瑶, 吴强, 刘伟伟*, 亚波长铌酸锂波导产生THz特性研究(特邀),光学学报Acta Optica Sinica 44(17), 1732024 (2024) //www.opticsjournal.net/Articles/OJ68290026c1431d8c/FullText
27. 吴强*,卢瑶,马若斌,徐西坦,黄意博,许京军*,受激声子极化激元与太赫兹光物理(特邀),激光与光电子学进展Laser & Optoelectronic Progress 61(1), 0119001 (2024) //www.opticsjournal.net/Articles/OJcb8dde31f637b3e2/FullText
2023年
26. Xitan Xu, Yao Lu*, Yibo Huang, Xu Zhou, Ruobin Ma, Hao Xiong, Meili Li, Qiang Wu*, & Jingjun Xu, Frequency modulation of terahertz microcavity via strong coupling with plasmonic resonators, Optics Express 31(26), 44375 (2023) //opg.optica.org/oe/fulltext.cfm?uri=oe-31-26-44375&id=544459
25. Baolong Zhang, Yifei Li, Xiaojun Wu*, Xitan Xu, Yao Lu, Qiang Wu, Xuan Wang, Hongyi Lei, Jinglong Ma, Guoqian Liao, & Yutong Li*, Enhanced Terahertz Phonon Polariton in Lithium Niobate Chip, Laser & Photonics Reviews 18(2), 2300895 (2023) //onlinelibrary.wiley.com/doi/10.1002/lpor.202300895
24. Jiang Fan, Zhiguo Sun, Yao Lu, Weiwei Luo*, Mengxin Ren, Wei Cai*, & Jingjun Xu, Topological super-modes engineering with acoustic graphene plasmons, Optics Express 31(3), 3698 (2023) //opg.optica.org/oe/fulltext.cfm?uri=oe-31-3-3698&id=525251
23. 徐西坦, 黄意博, 卢瑶, 马若斌, 吴强*, 许京军, 基于受激声子极化激元的太赫兹波传输调控与非线性效应研究, 中国激光Chinese Journal of Lasers 50(17),1714004 (2022) //www.opticsjournal.net/Articles/OJ437b6fa571f328e9/FullText
22. Yao Lu, Hao Xiong, Yibo Huang, Qiang Wu*, Jiwei Qi, Chongpei Pan*, & Jingjun Xu, Nonlinear harmonic generation of terahertz waves in a topological valley polaritonic microcavity, Chinese Optics Letters 21(8), 081901 (2023) //www.researching.cn/articles/OJ4a423a74876de9b
21. Xu Zhou, Yao Lu*, Haibo Liu, Qiang Wu*, Xitan Xu, Lu Chen, Zhixuan Li, Rui Wang, Jin Guo, & Jingjun Xu, One-step precise machining of terahertz microstructures on chip-scale lithium niobate via laser dispersion engineering, Materials Today Physics 35, 101102 (2023) //www.sciencedirect.com/science/article/pii/S2542529323001384?via%3Dihub
2022年
20. Xianhui Fu, Jiwei Qi*, Hao Hu, Sihao Zhang, Qiang Wu, Yao Lu, Hao Xiong, Hongjin Wu, Zongqiang Chen, Jing Chen, Xuanyi Yu, Qian Sun*, & Jingjun Xu*, Asymmetric reflection based on asymmetric coupling in single-layer extrinsic chiral metasurfaces, Optics Express 30(26), 47124 (2024) //opg.optica.org/oe/fulltext.cfm?uri=oe-30-26-47124&id=524205
19. Yao Lu, Qiang Wu*, Hao Xiong, Xu Zhou, Zhixuan Li, Jiwei Qi*, Xitan Xu, Ruobin Ma, Jiang Fan, Zhigang Chen* & Jingjun Xu*, Light–matter interaction beyond Born–Oppenheimer approximation mediated by stimulated phonon polaritons, Communications Physics 5(1), 299 (2022) //www.nature.com/articles/s42005-022-01080-1
18. Jiayi Wang, Shiqi Xia, Ride Wang, Ruobin Ma, Yao Lu, Xinzheng Zhang*, Daohong Song, Qiang Wu, Roberto Morandotti, Jingjun Xu* & Zhigang Chen*, Topologically tuned terahertz confinement in a nonlinear photonic chip, Light: Science & Applications 11(1), 152 (2022) //www.nature.com/articles/s41377-022-00823-7
2021年
//pubs.aip.org/aip/adv/article/12/1/015108/2818990/In-plane-reflection-phase-engineering-of-graphene
16. Hao Xiong, Yao Lu*, Qiang Wu*, Zhixuan Li, Jiwei Qi, Xitan Xu, Ruobin Ma, & Jingjun Xu*, Topological Valley Transport of Terahertz Phonon–Polaritons in a LiNbO3 Chip, ACS Photonics 8(9), 2737 (2021) //pubs.acs.org/doi/10.1021/acsphotonics.1c00860
15. Yao Lu, Qi Zhang, Qiang Wu*, Zhigang Chen, Xueming Liu, & Jingjun Xu, Giant enhancement of THz-frequency optical nonlinearity by phonon polariton in ionic crystals, Nature Communications 12(1), 3183 (2021) //www.nature.com/articles/s41467-021-23526-w
14. Yao Lu, Qiang Wu*, Hao Xiong, Song Huang, Chongpei Pan, Bin Zhang, Jiwei Qi, Zhigang Chen*, & Jingjun Xu*, Observation of “Frozen-Phase” Propagation of THz Pulses in a Dispersive Optical System, Laser & Photonics Reviews 15(7): 2000591 (2021) //onlinelibrary.wiley.com/doi/10.1002/lpor.202000591
2020年
13. Song Huang, Gongrong Deng, Xiaorong Jin, Yao Lu, Guanting Song, Hui Huang, Peng Zhao, Chunling Zhang, Jianghong Yao, Qiang Wu*, & Jingjun Xu, The dark current suppression of black silicon photodetector by a lateral heterojunction, Optical Materials 110, 110474 (2020) //www.sciencedirect.com/science/article/pii/S0925346720308144?via%3Dihub
2019年
12. Liyuan Cao, Jiwei Qi*, Qiang Wu, Zhixuan Li, Ride Wang, Jing Chen, Yao Lu, Wenjuan Zhao, Jianghong Yao, Xuanyi Yu, Qian Sun*, Jingjun Xu, Giant Tunable Circular Dichroism of Large-Area Extrinsic Chiral Metal Nanocrescent Arrays, Nanoscale Research Letters 14, 388 (2019) //link.springer.com/article/10.1186/s11671-019-3220-7
11. Qi Zhang, Jiwei Qi*, Yao Lu, Hao Xiong, Deng Zhang, Wenjuan Zhao, Ride Wang, Bin Zhang, Qiang Wu*, & Jingjun Xu, Cavity-cavity coupling based on a terahertz rectangular subwavelength waveguide, Journal of Applied Physics 126(6), 063103 (2019) //pubs.aip.org/aip/jap/article/126/6/063103/156739/Cavity-cavity-coupling-based-on-a-terahertz
10. Yao Lu, Qiang Wu*, Qi Zhang, Ride Wang, Bin Zhang*, Wejuan Zhao, Deng Zhang, Hao Xiong, Chengliang Yang, Jiwei Qi, Chongpei Pan, & Jingjun Xu, Time-resolved imaging of mode-conversion process of terahertz transients in subwavelength waveguides, Frontiers of Physics 14(4), 42502 (2019) //link.springer.com/article/10.1007/s11467-019-0892-5
9. Hao Xiong, Qiang Wu*, Yao Lu, Ride Wang, Qi Zhang, Jiwei Qi, Jianghong Yao*, & Jingjun Xu, Polarization-resolved edge states in terahertz topological photonic crystal, Optics Express 27(16), 22819 (2019) //opg.optica.org/oe/fulltext.cfm?uri=oe-27-16-22819&id=416217
8. Wenjuan Zhao, Jiwei Qi*, Yao Lu, Ride Wang, Qi Zhang, Hao Xiong, Yaqing Zhang, Qiang Wu*, & Jingjun Xu, On-chip plasmon-induced transparency in THz metamaterial on a LiNbO3 subwavelength planar waveguide, Optics Express 27(5), 7373 (2019) //opg.optica.org/oe/fulltext.cfm?uri=oe-27-5-7373&id=406797
7. 张琦, 吴强*, 张斌, 潘崇佩, 王日德, 卢瑶, 齐继伟, 许京军, 铌酸锂芯片上的太赫兹集成和时空超分辨成像, 中国激光Chinese Journal of Lasers 46, 24-37 (2019). //www.opticsjournal.net/Articles/Abstract?aid=OJ1905090000384z7C0F
2018年
6. Ride Wang, Qiang Wu*, Qi Zhang, Yao Lu, Wenjuan Zhao, Wei Cai*, Jiwei Qi, Jianghong Yao, & Jingjun Xu, Conversion from terahertz-guided waves to surface waves with metasurface, Optics Express 26(24), 31233 (2018) //opg.optica.org/oe/fulltext.cfm?uri=oe-26-24-31233&id=401191
5. Danyang Wang, Ya’nan Li, Chunling Zhang*, Chenglin Du, Qiang Li, Yao Lu, Jianghong Yao*, Jiwei Qi, Wei Wu, Wei Cai, Qiang Wu, & Jingjun Xu, Cathodoluminescence Enhancement of MoS2 by Femtosecond Laser Induced Periodic Surface Structures, Journal of Nanoscience and Nanotechnology 18, 7557 (2018) //chinesesites.library.ingentaconnect.com/content/10.1166/jnn.2018.16069
4. Yao Lu, Qiang Wu*, Qi Zhang, Ride Wang, Wenjuan Zhao, Deng Zhang, Chongpei Pan*, Jiwei Qi, & Jingjun Xu, Propagation of THz pulses in rectangular subwavelength dielectric waveguides, Journal of Applied Physics 123(22): 223103 (2018) //pubs.aip.org/aip/jap/article/123/22/223103/155235/Propagation-of-THz-pulses-in-rectangular
3. Wenjuan Zhao, Qiang Wu*, Ride Wang, Jianshun Gao, Yao Lu, Qi Zhang, Jiwei Qi, Chunling Zhang*, Chongpei Pan, Romano Rupp, & Jingjun Xu, Transient establishment of the wavefronts for negative, zero, and positive refraction, Optics Express 26(2), 1954 (2018) //opg.optica.org/oe/fulltext.cfm?uri=oe-26-2-1954&id=380902
2017年
2. Qi Zhang, Jiwei Qi*, Qiang Wu*, Yao Lu, Wenjuan Zhao, Ride Wang, Chongpei Pan, Shibiao Wang & Jingjun Xu, Surface enhancement of THz wave by coupling a subwavelength LiNbO3 slab waveguide with a composite antenna structure, Scientific Reports 7(1), 17602 (2017) //www.nature.com/articles/s41598-017-17712-4
1. Huimei Yang, Jiwei Qi, Chongpei Pan, Yao Lu, Qiang Wu*, Jianghong Yao*, & Jingjun Xu, Efficient generation and frequency modulation of quasi-monochromatic terahertz wave in Lithium Niobate subwavelength waveguide, Optics Express 25(13), 14766 (2017) //opg.optica.org/oe/fulltext.cfm?uri=oe-25-13-14766&id=368164
社会兼职天津市青年科技工作者协会数理专业委员会委员。 教学经历本科生课程: 近代物理实验4.6,7.1,7.2. 荣誉称号(1)2021年中国光学十大进展(基础类); (2)2022年OPN光学重要进展Optics in 2022; (3)2024年中国光学学会科技创新奖郭光灿光学奖(二等); (4)2024天津市青年科技工作者协会优秀青年科技工作者; (5)2020年Incubic/Milton Chang Travel Fund。 |















